奧美拉唑腸溶膠囊說明書
請仔細閱讀說明書并在醫師指導下使用
【藥品名稱】
通用名稱:奧美拉唑腸溶膠囊
英文名稱:Omeprazole Enteric Capsules
漢語拼音:Aomeilazuo Changrong Jiaonang
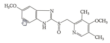
【成 份】本品主要成份為奧美拉唑,其化學名稱為:5-甲氧基-2-[[(4-甲氧基-3,5-二甲基-2-吡啶基)甲基]亞磺?;鵠-1H-苯并咪唑。
其化學結構式為:

分子式:C17H19N3O3S
分子量:345.42
【性 狀】本品內容物為白色或類白色腸溶小丸或顆粒。
【適 應 癥】適用于胃潰瘍、十二指腸潰瘍、應激性潰瘍、反流性食管炎和卓-艾綜合征(胃泌素瘤)。
【規 格】20mg
【用法用量】口服,不可咀嚼。
1、消化性潰瘍:一次20mg(一次1粒),一日1~2次。每日晨起吞服或早晚各一次,胃潰瘍療程通常為4~8周,十二指腸潰瘍療程通常2~4周。
2、反流性食管炎:一次20~60mg(一次1~3粒),一日1~2次。晨起吞服或早晚各一次,療程通常為4~8周。
3、卓-艾綜合征:一次60mg(一次3粒),一日1次,以后每日總劑量可根據病情調整為20~120mg(1~6粒),若一日總劑量需超過80mg(4粒)時,應分為兩次服用。
【不良反應】
本品耐受性良好,常見不良反應是腹瀉、頭痛、惡心、腹痛、胃腸脹氣及便秘,偶見血清氨基轉移酶(ALT,AST)增高、皮疹、眩暈、嗜睡、失眠等,這些不良反應通常是輕微的,可自動消失,與劑量無關。長期治療未見嚴重的不良反應,但在有些病例中可發生胃粘膜細胞增生和萎縮性胃炎。
【禁 忌】對本品過敏者、嚴重腎功能不全者及嬰幼兒禁用。
【注意事項】
1、治療胃潰瘍時,應首先排除潰瘍型胃癌的可能,因用本品治療可減輕其癥狀,從而延誤治療。
2、肝腎功能不全者慎用。
3、本品為腸溶膠囊,服用時注意不要嚼碎,以免藥物在胃內過早釋放而影響療效。
【孕婦及哺乳期婦女用藥】
雖然本品在動物實驗中無致畸作用,但孕婦一般應不用,哺乳期婦女也應慎用。
【兒童用藥】尚無兒童用藥經驗,嬰幼兒禁用。
【老年用藥】尚無老年用藥經驗。
【藥物相互作用】
本品可延緩經肝臟代謝藥物在體內的消除,如安定、苯妥英鈉、華法令、硝苯啶等,當本品和上述藥物一起使用時,應減少后者用量。
【藥物過量】尚不明確
【藥理毒理】
質子泵抑制劑。本品為脂溶性弱堿性藥物,易濃集于酸性環境中,因此口服后可特異地分布于胃粘膜壁細胞的分泌小管中,并在此高酸環境下轉化為亞磺酰胺的活性形式,然后通過二硫鍵與壁細胞分泌膜中的H+-K+-ATP酶(又稱質子泵)的巰基不可逆性的結合,生成亞磺酰胺與質子泵的復合物,從而抑制該酶活性,阻斷胃酸分泌的最后步驟,因此本品對各種原因引起的胃酸分泌具有強而持久的抑制作用。
【藥代動力學】
口服本品后,經小腸吸收,1小時內起效,0.5~3.5小時血藥濃度達峰值,作用持續24小時以上,可分布到肝、腎、胃、十二指腸、甲狀腺等組織,且易透過胎盤。通常單劑量生物利用度約35%,多劑量生物利用度增至約60%,血漿蛋白結合率為95%~96%,血漿半衰期為0.5~1小時,慢性肝病患者為3小時。本品在體內經肝臟微粒體細胞色素P450氧化酶系統代謝,代謝物的約80%經尿排泄,其余由膽汁分泌后從糞便排泄。
【貯 藏】遮光,密封,在干燥處保存。
【包 裝】聚氯乙烯固體藥用硬片/藥用鋁箔,每盒裝14粒。
口服固體藥用高密度聚乙烯瓶/藥用聚酯/鋁/聚乙烯封口墊片,每盒裝14粒。
【有 效 期】18個月
【執行標準】《中國藥典》2015年版二部
【批準文號】國藥準字H20059988
【生產企業】
企業名稱:河南羚銳制藥股份有限公司
生產地址:河南省信陽市北環路9號
郵政編碼:464000
電話號碼:400 6376016
傳真號碼:(0376) 8918855
注冊地址:河南省新縣向陽路232號
網 址:www.zczz8.com